阿摩線上測驗 登入

申論題資訊

試卷:110年 - 110 國立政治大學_碩士班招生考試_金融學系財務工程/金融科技組:統計學B#105692
科目:研究所、轉學考(插大)◆統計學
年份:110年
排序:0

題組內容

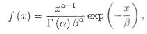
■Let X be a random variable with the distribution
61dbf1a006560.jpg
where a > 0 and β > 0. If Y = 1/X, the probability density function of Y is__ (7)__ , and E(Yr)= (8) , where r is a positive integer.

申論題內容

(8)