題組內容
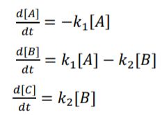
2. 由反應機構(reaction mechanism)的基本反應步驟(elementary step)中列出各反應速率式,就能 解出所有物種的反應速率及反應級數。 如一 A→ C 的反應可拆解為連續反應
其反應速率式為
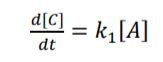
利用”恆穩態近似”(steady state approximation)假定中間產物的濃度變化量為 0,即
由上可得產物[C]的反應速率
與反應物[A]成一級反應 
(B) 乙醛熱解成甲烷與一氧化碳的全反應 CH3CHO→ CH4 + CO 可分解成下列的基本反應步驟
試求出甲烷(CH4)生成速率的反應級數與反應速率常數。