阿摩線上測驗
登入
首頁
>
研究所、轉學考(插大)◆總體經濟學
>
110年 - 110 國立中央大學_碩士班招生考試_經濟學系/不分組(一般生):總體經濟學#110496
> 申論題
申論題
試卷:110年 - 110 國立中央大學_碩士班招生考試_經濟學系/不分組(一般生):總體經濟學#110496
科目:研究所、轉學考(插大)◆總體經濟學
年份:110年
排序:0
申論題資訊
試卷:
110年 - 110 國立中央大學_碩士班招生考試_經濟學系/不分組(一般生):總體經濟學#110496
科目:
研究所、轉學考(插大)◆總體經濟學
年份:
110年
排序:
0
題組內容
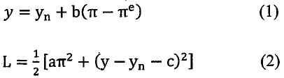
給定以下Philips 曲線(1)與央行所面對的損失函數(2):
其中yn,π
e
分別為自然產出與預期通膨,a>0,b>0。
申論題內容
(C)給定民眾相信央行的承諾,預期通膨為零,請問央行是否有動機偏離零通膨的政策規劃?(7分)