阿摩線上測驗
登入
首頁
>
研究所、轉學考(插大)◆統計學
>
109年 - 109 輔仁大學_碩士班招生考試_統計資訊學系應用統計碩士班:統計學#105735
> 申論題
申論題
試卷:109年 - 109 輔仁大學_碩士班招生考試_統計資訊學系應用統計碩士班:統計學#105735
科目:研究所、轉學考(插大)◆統計學
年份:109年
排序:0
申論題資訊
試卷:
109年 - 109 輔仁大學_碩士班招生考試_統計資訊學系應用統計碩士班:統計學#105735
科目:
研究所、轉學考(插大)◆統計學
年份:
109年
排序:
0
題組內容
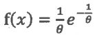
3.假設X
1
,X
2
,...,
為様本數n且滿足以下機率密度函數的隨機變數,其機率密度函數
, x>0,θ>0
申論題內容
(a)請計算X的期望值(expcctedvalue異數(variance)、動差母函數(moment generating function)?