阿摩線上測驗 登入

申論題資訊

試卷:104年 - 104 國立交通大學_碩士班考試入學試題_資訊聯招:線性代數與離散數學#113284
科目:交大◆資工◆線性代數與離散數學
年份:104年
排序:0

題組內容

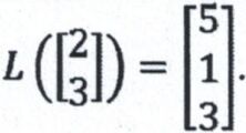
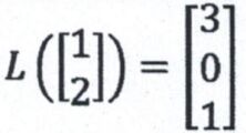
7. Let L:R2→R3 be a linear transformation. Assume 63f5e44f3dfc9.jpgand63f5e45658612.jpg In addition,63f5e487c7fc8.jpg is an ordered basis of R2, and 63f5e4aa04ad9.jpg are ordered bases of R3.

申論題內容

(a) (4 points) Find the matrix representation of L with respect to the bases B1 and B2.