阿摩線上測驗
登入
首頁
>
交大◆電機◆微分方程與線性代數
>
101年 - 101 國立交通大學_碩士班考試入學試題_電機工程學系:微分方程與線性代數#105738
> 申論題
申論題
試卷:101年 - 101 國立交通大學_碩士班考試入學試題_電機工程學系:微分方程與線性代數#105738
科目:交大◆電機◆微分方程與線性代數
年份:101年
排序:14
申論題資訊
試卷:
101年 - 101 國立交通大學_碩士班考試入學試題_電機工程學系:微分方程與線性代數#105738
科目:
交大◆電機◆微分方程與線性代數
年份:
101年
排序:
14
題組內容
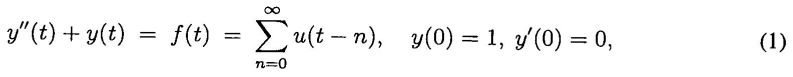
7. (15%) For the following initial value problem
where u(t) is the unit-step function,
申論題內容
(a) (5%) Find the Laplace transform of f(t) and determine its region of convergence.