題組內容
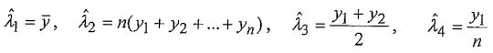
3. (12分) Let y1, y2, y3,..., ynbe a random sample from a Poisson distribution with mean λ,i.e.,E(yi) =λ, i = 1, 2, ..., n. Consider four estimators of λ:
(a) Which of the four estimators are unbiased?
3. (12分) Let y1, y2, y3,..., ynbe a random sample from a Poisson distribution with mean λ,i.e.,E(yi) =λ, i = 1, 2, ..., n. Consider four estimators of λ:
(a) Which of the four estimators are unbiased?