阿摩線上測驗
登入
首頁
>
港務局◆電機機械與自動控制
>
106年 - 106-1 臺灣港務股份有限公司從業人員甄試_師級_電機:電機機械與自動控制#83190
> 申論題
題組內容
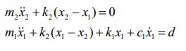
5.ㄧ系統之動態可利用下列聯立方程式描述
其中d 為干擾訊號,x
1
與x
2
為系統變量而 m
1
、 c
1
、 k
1
、m
2
與 k
2
為參數。 試問:
(b)應如何擇定m
2
與 k
2
使得當干擾訊號d 為頻率為ω
0
之弦式訊號時, x
1
不會受到此一頻率干擾之影響。
相關申論題
(a) The total reluctance of the flux path (iron plus air gap).
#337889
(b) The current required to produce a flux density of 0.5 T in the air gap.
#337890
(a) 總電路損失;
#337891
(b) 此電動機之操作效率。
#337892
(a) 啟動時的定子輸入線電流為多少 A?
#337893
(b) 當操作於轉差率為 3%時,電動機的定子輸入線電流為多少 A?
#337894
(c) 當操作於轉差率為 3%時,電動機轉子的轉速為多少 rpm?
#337895
(d) 當操作於轉差率為 3%時,電動機轉子的輸出功率為多少 W?
#337896
4.ㄧ船舶之滾轉控制系統方塊圖如下:試推導出輸入 R (s)至誤差 E (s)之轉移函數
#337897
(a) 此系統由干擾訊號d至x1之轉移函數。
#337898
相關試卷
106年 - 106-1 臺灣港務股份有限公司從業人員甄試_師級_電機:電機機械與自動控制#83190
106年 · #83190
105年 - 105-2 臺灣港務股份有限公司從業人員甄試_師級_電機:電機機械與自動控制#83219
105年 · #83219
105年 - 105-1 臺灣港務股份有限公司從業人員甄試_師級_電機:電機機械與自動控制#83212
105年 · #83212