阿摩線上測驗
登入
首頁
>
研究所、轉學考(插大)◆線性代號
>
110年 - 110 國立高雄科技大學_碩士班招生考試_電腦與通訊工程系:線性代號(甲組)#110418
> 申論題
申論題
試卷:110年 - 110 國立高雄科技大學_碩士班招生考試_電腦與通訊工程系:線性代號(甲組)#110418
科目:研究所、轉學考(插大)◆線性代號
年份:110年
排序:0
申論題資訊
試卷:
110年 - 110 國立高雄科技大學_碩士班招生考試_電腦與通訊工程系:線性代號(甲組)#110418
科目:
研究所、轉學考(插大)◆線性代號
年份:
110年
排序:
0
題組內容
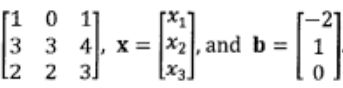
2. [15%] Let A =
.
申論題內容
(b) Find the inverse of A. (5%)