阿摩線上測驗 登入

申論題資訊

試卷:110年 - 110 國立中山大學_碩士班招生考試_電機系(戊組)、通訊所(甲、乙組)、電波聯合:通訊理論#104364
科目:中山◆電機◆通訊理論
年份:110年
排序:0

題組內容

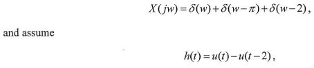
2. (25%) Consider a signal x(t) whose Fourier transform is expressed as
61a5cb8bc5101.jpg
 where u(t) is the unit step function.

申論題內容

(b). (5%) Compute the Fourier transform of h(t).