阿摩線上測驗
登入
首頁
>
轉學考-質能均衡
>
101年 - 101 淡江大學 轉學考 質能均衡#53232
> 申論題
申論題
試卷:101年 - 101 淡江大學 轉學考 質能均衡#53232
科目:轉學考-質能均衡
年份:101年
排序:0
申論題資訊
試卷:
101年 - 101 淡江大學 轉學考 質能均衡#53232
科目:
轉學考-質能均衡
年份:
101年
排序:
0
題組內容
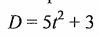
1. Consider the equation:
where D is distance having a unit of m and t is time having a unit of s.
申論題內容
(c) Derive an equation for distance in centimeters in terms of time in minutes. (10%)