阿摩線上測驗
登入
首頁
>
轉學考-線性代數
>
100年 - 100 淡江大學 轉學考 線性代數#55896
>
題組內容
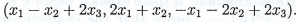
1. (15 points) Let T be a linear transformation from R3 to R3 defined by T
=
(c) What are the conditions on a, b, c that the vector (a, b, c) is in the null space of T? What is the nullity of T?
其他申論題
四、試說明影響機場容量之因素有哪些?
#211532
五、試繪圖說明四種交流道基本型式之特點,適用之公路情況、及其優缺點比較。
#211533
【已刪除】 (a) Find the matrix representation of T with respect to the standard basis {(1,0,0), (0,1,0), (0,0,1)} of
#211534
【已刪除】(b) If (a, b,c) is a vector in ,what are the conditions on a, b, c that the vector is in the range of T? What is the rank of T?
#211535
【已刪除】2. (10 points) Let u = (2,1,0),v = (3,0,2) and w = (0, -2,3). Suppose that T is a linear operator on that interchanges u and v, and maps w to (1,0,0). Find the matrix representation [T]B of T with respect to the standard basis B = {(1,0,0),(0,1,0),(0,0,1)}.
#211537
【已刪除】 (a) Show that for any is linearly dependent.
#211538
【已刪除】(b) Show that A is invertible if and only if I belongs to Span
#211539
(a) Eigenvalues of T are either 0 or 1.
#211540
【已刪除】(b) V = ker(T) range(T).
#211541
(c) T is diagonalizable.
#211542