Question 2 (30%)
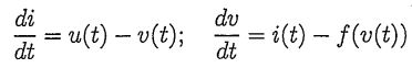
The left-hand side of Figure 2 shows the schematic model of an electronic circuit involving a tunnel
diode. At time t ≥ 0, let u(t) denote the source voltage, i(t) denote the inductor current and u(t) denote
the voltage across the capacitor (and thus the tunnel diode). For the sake of argument, suppose that the
static non-linear current-voltage characteristic iD(t) = f(u(t)) of the tunnel diode is as shown on the
right in Figure 2, that the inductance L = 1 and that the capacitance C = 1. Applying Kirchoff's voltage
and current laws yields the following differential equations:
