阿摩線上測驗 登入

申論題資訊

試卷:110年 - 110 國立臺北科技大學_碩士班招生考試_光電工程系碩士班:電磁學#108271
科目:研究所、轉學考(插大)◆電磁學
年份:110年
排序:0

題組內容

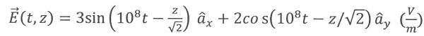
5. The 62a1a35aac16d.jpg-field of a uniform plane wave propagating in a dielectric medium is given by62a1a3781bbd0.jpg.

申論題內容

(d) Find the corresponding 62a1a43cc817d.jpg-field.(5分)