阿摩線上測驗
登入
首頁
>
港務局◆工業安全管理(包括應用統計)
>
108年 - 108 臺灣港務股份有限公司新進從業人員甄試_師級_職安衛:工業安全管理(包括應用統計)#83161
> 申論題
題組內容
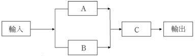
3. 針對以下系統,請回答以下問題
A之不可靠度為 Pa=0.02
B 之不可靠度為 Pb=0.03
C 之不可靠度為 Pc=0.008
(一)以事件樹分析(ETA)方法來建構事故事件樹。
相關申論題
1. (一)何謂火災形成的三角形燃燒原理?
#337624
(二)列舉說明三種常見的滅火方法?
#337625
(一)危害防止計畫應訂定哪些事項?
#337626
(二)作業場所入口顯而易見處所應公告哪些注意事項,使作業勞工周知?
#337627
(二)計算事故的機率。
#337629
4.請運用歐姆定律,舉例詳細說明防止感電災害的作法?
#337630
4 事業單位與承攬人、再承攬人分別僱用勞工共同作業時,為防止職業災害,原事業單位召集協議組織,定期或不定期進行協議哪些事項?
#486584
(5)導電度等物性對火災、爆炸的風險有何影響?
#486583
(4)與水的混合性、
#486582
(3)比重、
#486581
相關試卷
112年 - 112 臺灣港務股份有限公司新進從業人員甄試_師級_職安衛:工業安全管理(包括應用統計)#113987
112年 · #113987
108年 - 108 臺灣港務股份有限公司新進從業人員甄試_師級_職安衛:工業安全管理(包括應用統計)#83161
108年 · #83161
107年 - 107 臺灣港務股份有限公司新進從業人員甄試_職安衛:工業安全管理(包括應用統計)#83143
107年 · #83143
106年 - 106-2 臺灣港務股份有限公司從業人員甄試_師級_勞安:工業安全管理(包括應用統計)#83202
106年 · #83202