阿摩線上測驗
登入
首頁
>
藥物分析與生藥學(包括中藥學)
>
106年 - 106 高等考試_三級_藥事:藥物分析與生藥學(包括中藥學)#63609
> 申論題
題組內容
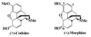
二、Codeine 及 morphine 之結構如下,試回答下列問題:
⑴此二成分在化學分類上屬於何種類別(如 indole alkaloid)?
相關申論題
⑴此成分主含於何種藥材(含植物科別、植物名及使用部位)﹖又其用途為何?
#255074
⑵在化學分類上,本結構屬於何種類別(如 indole alkaloid)?
#255075
⑶在定性及定量分析方面,本成分宜利用何種層析技術(含層析條件)及檢示器進行?
#255076
⑵如某一混合物中只含此二成分,試設計一簡易方法將兩者分離。
#255078
⑶試論述如何由 1 H NMR 及 NMR 圖譜鑑別此二成分?
#255079
⑷試論述如何以 UV 技術鑑別此二成分?
#255080
⑴此成分含於何植物科別及何種生藥材中?
#255081
⑵在化學分類上,此成分之結構屬於何種類別(如 indole alkaloid)?
#255082
⑶此成分之 1 H NMR 圖譜在芳香氫區與烯氫區呈現那些訊號(含偶合及偶合常數之分析)?
#255083
⑴此二成分主含於何種植物(含植物科別、植物名及使用部位)?
#255084
相關試卷
114年 - 114 高等考試_三級_藥事:藥物分析與生藥學及藥劑學#128475
114年 · #128475
114年 - 114 關務特種考試_三等_藥事(選試英文):藥物分析與生藥學(包括中藥學)#126573
114年 · #126573
113年 - 113 高等考試_三級_藥事:藥物分析與生藥學及藥劑學#121261
113年 · #121261
113年 - 113 關務特種考試_三等_藥事(選試英文):藥物分析與生藥學(包括中藥學)#119498
113年 · #119498
112年 - 112 公務升官等考試_薦任_藥事:藥物分析與生藥學(包括中藥學)#117126
112年 · #117126
112年 - 112 高等考試_三級_藥事:藥物分析與生藥學(包括中藥學)#115484
112年 · #115484
112年 - 112 關務特種考試_三等_藥事:藥物分析與生藥學(包括中藥學)#113892
112年 · #113892
111年 - 111 高等考試_三級_藥事:藥物分析與生藥學(包括中藥學)#109538
111年 · #109538
111年 - 111 關務特種考試_三等_藥事:藥物分析與生藥學(包括中藥學)#107617
111年 · #107617
110年 - 110 公務升官等考試_薦任_藥事:藥物分析與生藥學(包括中藥學)#103728
110年 · #103728