阿摩線上測驗
登入
首頁
>
電子學
>
105年 - 105 一般警察特種考試_二等_刑事警察人員電子監察組:電子學#53383
> 申論題
申論題
試卷:105年 - 105 一般警察特種考試_二等_刑事警察人員電子監察組:電子學#53383
科目:電子學
年份:105年
排序:0
申論題資訊
試卷:
105年 - 105 一般警察特種考試_二等_刑事警察人員電子監察組:電子學#53383
科目:
電子學
年份:
105年
排序:
0
題組內容
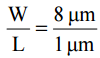
四、下圖為一簡化的放大電路,其電路參數為I
D
=1mA、 μ
n
C
ox
= 250 μA/V
2
、V
A
= ∞、
、R
L
= 5 KΩ、R
S
=10 KΩ、C
C
=10
-9
,回答下列問題: (每小題 4 分,共 20 分)
申論題內容
⑴求本電路的直流增益A
v
。