阿摩線上測驗
登入
首頁
>
工程統計學與品質管制概要
>
106年 - 106 普通考試_工業工程:工程統計學與品質管制概要#63364
> 申論題
題組內容
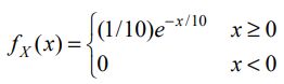
一、假設已知某筆記型電腦壽命X 的機率密度函數(probability density function, pdf)如下:
⑴求算出任一該產品在一年內夭折的機率,稱為 p。(10 分)
相關申論題
⑵繪出 f (x) X 之圖形,並以斜線繪出 p之圖形。(10 分)
#253641
二、設隨機變數 X 服從一致分配(θ ,1),其中θ 為我們想估計的參數。隨機變數 X 的機率密度函數為已知一組隨機產生的資料為0.3, 0.5, −11, 0, 0.4。根據此組資料利用最大概似估計法估計參數θ。(10 分)
#253642
⑴若以 ANOVA 再次做檢定 ,求算 F-值及相對應的 p-值。(10 分)
#253643
⑵可否使用 T 統計量建立之統計檢定?說明理由。(10 分)
#253644
⑴ X 服從什麼分配?(10 分)
#253645
⑵平均檢驗幾次才會有一個量測值落在管制上下限之外?(10 分)
#253646
⑴SSTO。(10 分)
#253647
⑵SSA。(10 分)
#253648
⑶SSE。(10 分)
#253649
四、某國內家具製造商從海外供應商購買一批原料,並對其進行抽樣,以確 定其甲醛釋放量是否合乎規格。若平均釋出量低於 3 ppm,此批即判定為合格。已知釋放量標準差為 1 ppm。當平均釋放量為 3 ppm 的批次有 0.95 的機率被接受 (Z0.95= 1.645) ,而平均釋放量為 4 ppm 的批次有 0.10 的機率被接受 (Z0.1 = -1.282) 。請設計一個變數抽樣計畫所需要的樣本有 多少?(25 分)
#560954
相關試卷
114年 - 114 地方政府公務特種考試_三等_工業工程:工程統計學與品質管制#134792
114年 · #134792
114年 - 114 專技高考_工業工程技師:工程統計與品質管理#133684
114年 · #133684
114年 - 114 高等考試_三級_工業工程:工程統計學與品質管制#128785
114年 · #128785
114年 - 114 普通考試_工業工程:工程統計學與品質管制概要#128783
114年 · #128783
113年 - 113 地方政府公務特種考試_三等_工業工程:工程統計學與品質管制#124515
113年 · #124515
113年 - 113 專技高考_工業工程技師:工程統計與品質管理#123906
113年 · #123906
113年 - 113 普通考試_工業工程:工程統計學與品質管制概要#121505
113年 · #121505
113年 - 113 高等考試_三級_工業工程:工程統計學與品質管制#121494
113年 · #121494
112年 - 112 地方政府特種考試_三等_工業工程:工程統計學與品質管制#118273
112年 · #118273
112年 - 112 專技高考_工業工程技師:工程統計與品質管理#117626
112年 · #117626