阿摩線上測驗 登入

申論題資訊

試卷:108年 - 108 高等考試_三級_土木工程、水利工程:土壤力學(包括基礎工程)#78076
科目:土壤力學與基礎工程(設計)
年份:108年
排序:0

題組內容

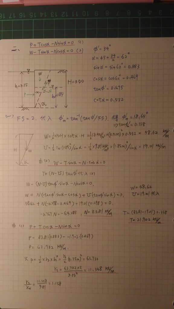
二、如下圖所示,有一連續壁將構築在土層中,土層其單位重 γ=18 kN/m3(地 下水位以上和以下都是相同此單位重),剪力強度參數 c’= 0,ψ’=34°。 這溝槽深度 H=3.50 m,穩定液的深度為 h1=3.35 m,地下水位在溝漕底 面以上 h2=1.85 m。若穩定液側壓力 P 會抵抗潛在滑動楔形土塊 W,以 保持壁體安全。潛在滑動面與水平面角 α= 45+ψ’/2。5d2d64c16769e.jpg

申論題內容

⑴當安全係數採用 2 時,試計算穩定液單位重 γs 及滑動面上之正力 N 各為多少?(15 分)

詳解 (共 1 筆)

詳解 提供者:念佛往生

5d8473d95a391.jpg#s-576,1024