阿摩線上測驗
登入
首頁
>
物理化學(包括化工熱力學)
>
102年 - 102 地方政府特種考試_三等_化學工程:物理化學(包括化工熱力學)#25590
> 申論題
申論題
試卷:102年 - 102 地方政府特種考試_三等_化學工程:物理化學(包括化工熱力學)#25590
科目:物理化學(包括化工熱力學)
年份:102年
排序:0
申論題資訊
試卷:
102年 - 102 地方政府特種考試_三等_化學工程:物理化學(包括化工熱力學)#25590
科目:
物理化學(包括化工熱力學)
年份:
102年
排序:
0
題組內容
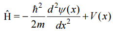
二、在一維次的有限長度盒子,在盒子內的位能 V(x) =∞ , (a > x > 0);而在盒子外的位能 V(x) = ∞, (x
a; x
)。 總能量運算子(
)之正規化特性函數(n o r m a l i z e d eigenfunction)為 Ψn =
,其特性值(eigenvalue)為 En =
(其中 h 為 Planck constant,m 為粒子質量,而 n = 1, 2, 3,…)。
申論題內容
⑴試說明此特性值函數所代表的意義。(10 分)