阿摩線上測驗 登入

申論題資訊

試卷:102年 - 102年專技第二次高等資料結構(包括資料庫)#43744
科目:公職◆資料結構
年份:102年
排序:0

題組內容

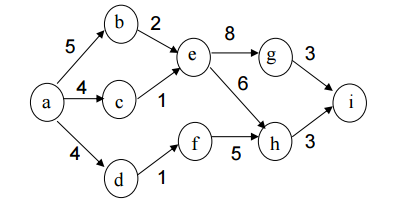
四、

申論題內容

⑴請寫出 Dijkstra 演算法找出一點到所有點的最短距離。(10 分)