阿摩線上測驗 登入

申論題資訊

試卷:104年 - 104 高等考試_二級_土木工程:土壤力學(包括基礎工程)#32037
科目:土壤力學與基礎工程(設計)
年份:104年
排序:0

題組內容

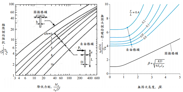
四、有一長 20 m、橫截面為 300 mm×300 mm 之方形混凝土基樁,欲建在黏土層上,基 樁埋入地下深度為 20 m,樁頭位於地表面,無承受外加力矩。此黏土層之單位重 γ= 18 kN/m3 ,不排水強度 cu=100 kPa,水平土壤模數 K= 5000 kN/m3 。樁材之彈性模 數 EP= 21×106 kN/m2 ,樁材之降伏應力σy= 21 MN/m2 ,試分別以樁頭為自由(free) 樁頭、樁頭為固接(fixed)樁頭。 (提示:可以參考下圖計算求解,右圖之 x0 為樁頭水平變位;Ip 為基樁截面的慣性 矩。若因計算有必要,下圖可以線性內外差求值。)

申論題內容

⑵假設樁頭之側向容許水平變位為 10 mm,則樁頭之容許水平側向支承力各 為若干 kN?(每小題 10 分,共 20 分)