阿摩線上測驗
登入
首頁
>
轉學考-物理
>
105年 - 105年高等三級暨普通考高考三級大氣物理學(包括大氣輻射與雲物理) #53985
> 申論題
題組內容
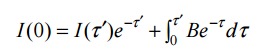
四、對於非散射(nonscattering)的介質而言,最基本的輻射傳遞方程式是史瓦茲查爾德 方程式(Schwarzschild’s Equation)
⑵在平行平面大氣的假設下,試針對位於大氣層頂的觀測儀器觀測由地球往上輻射 量的狀態,推導並改寫其適用的方程式。(10 分)
相關申論題
一、對於空氣塊發生飽和凝結產生水滴的過程,有一些教科書常以一個空氣塊在特定溫 度只能容納一定的水氣量的說法加以解釋,所以只要水氣量超過該空氣可以容納的 極限(也就是飽和水氣壓),就會飽和凝結產生水滴。試以精確的雲微物理觀點,說 明為什麼上述的說法與解釋在科學上而言並不是很正確地描述出大氣中雲滴的生成 過程?(20 分)
#199160
二、在自然界中,冰晶的成長過程與雨滴的成長過程最大的差異之一是有所謂白吉龍-芬 地生過程(Bergeron-Findeisen Process),試描述此過程中主要現象以及適用的環境條 件等。(15 分)
#199161
三、試說明一般雨滴粒徑譜分布的分布特性以及其與降雨速率的關係。(15 分)
#199162
⑴試解釋上述方程式中各項的物理意義。(8 分)
#199163
五、地球大氣對於短波太陽輻射的散射過程主要有兩類,試分別說明這兩種散射過程主 要的區別為何?個別散射的主要特徵是什麼?在大氣中主要產生這兩種散射的粒子 分別又有那些?(12 分)
#199165
⑴依據下圖分別寫出大氣層頂、均勻大氣層與地面的能量平衡關係式,並以其估計 大氣層與地面在輻射能量平衡下的溫度分別為何?(12 分)
#199166
(b) If the particle in theexcited state.What is the possibility to find the particle in region in between x = 0 and x= L/3.
#416729
(a) Find the ground state energy in eV by using de Broglie's hypothesis.
#416728
(b) The 150 eV electron beam are directed at a spacing D = 0.2 nm crystal. Find the angular position of the first diffraction maxima angleθ.
#416727
(a)What is the de Broglie wavelength of an electron accelerated from rest by a potential difference of 150 V?
#416726
相關試卷
108年 - 台聯大轉學考 物理#99867
108年 · #99867
107年 - 台聯大轉學考 普通物理#99865
107年 · #99865
106年 - 台聯大轉學考 普通物理#99773
106年 · #99773
105年 - 105 台灣聯合大學系統_學士班轉學生考試試題:普通物理#124919
105年 · #124919
105年 - 105年地方四等-普通物理學概要#58765
105年 · #58765
105年 - 105年地方三等-近代物理#58638
105年 · #58638
105年 - 105年高等三級暨普通考高考三級原子物理 #57777
105年 · #57777
105年 - 105年高等三級暨普通考普通普通物理學概要 #54257
105年 · #54257
105年 - 105年高等三級暨普通考高考三級大氣物理學(包括大氣輻射與雲物理) #53985
105年 · #53985
105年 - 105年高等三級暨普通考高考三級放射物理學 #53980
105年 · #53980