阿摩線上測驗
登入
首頁
>
宇宙學
>
102年 - 102 地方政府特種考試_三等_天文:宇宙學#31407
> 申論題
申論題
試卷:102年 - 102 地方政府特種考試_三等_天文:宇宙學#31407
科目:宇宙學
年份:102年
排序:1
申論題資訊
試卷:
102年 - 102 地方政府特種考試_三等_天文:宇宙學#31407
科目:
宇宙學
年份:
102年
排序:
1
題組內容
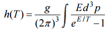
一、如果一個氣體粒子達成熱平衡後,某個物理量的密度函數為(公式中已經將 ћ=1, c=1,k
B
=1 作為自然單位(natural unit)簡化,回答時應將 ћ ,c 等單位復原)
其中 p、E 分別是該粒子的動量和能量,試以 CMB 測得的粒子為例說明:
申論題內容
⑵從式子右邊的因次看,h(T)為何是密度?h(T)又代表什麼物理量的密度?(8 分)