阿摩線上測驗
登入
首頁
>
設施規劃概要
>
102年 - 102 地方政府特種考試_三等_工業工程:設施規劃#31310
> 申論題
申論題
試卷:102年 - 102 地方政府特種考試_三等_工業工程:設施規劃#31310
科目:設施規劃概要
年份:102年
排序:0
申論題資訊
試卷:
102年 - 102 地方政府特種考試_三等_工業工程:設施規劃#31310
科目:
設施規劃概要
年份:
102年
排序:
0
題組內容
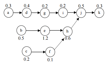
四、有一工廠要指派以下的 11 個作業活動(a、b、c、d、e、f、g、h、i、j、k)給數個工 作站,作生產線平衡規劃,其製造流程先行圖(Precedence diagram)如下:
上圖時間單位為「分鐘」。某工業工程師負責規劃此一工作站與作業活動指派的 問題,其設計產能是每天生產 300 單位產品,假設每天工作站之機臺有效運轉時 間是 8 小時,此規劃師希望使用最少工作站及最少的機臺閒置時間(Idle Time)以 達成產能目標。
申論題內容
⑵最少的可能工作站是幾站(5 分)?該如何指派活動給工作站,以達生產線平衡 (10 分)?在此最佳指派下,生產系統效率(Efficiency)為何(10 分) ?