阿摩線上測驗
登入
首頁
>
二、三等◆經濟學(研究)
>
108年 - 高考二級 經濟學研究#79566
> 申論題
題組內容
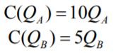
三、某產業僅有 A 與 B 兩家廠商提供具有替代性的異質產品,彼此在市場從 事價格競爭,而各自的成本函數為:
兩者面對各自的市場需求函數如下:
試回答下列問題:
⑵當兩家廠商達成 Bertrand-Nash 均衡狀態時,各自的訂價為何?(13 分)
相關申論題
⑴假設α = 3%,δ =1,該國的自然失業率為u* = 5%,而且目前處於自 然產出狀態。假設央行執行量化寬鬆政策,企圖壓低失業率至 u = 3%。如果該國民眾以理性預期方式形成預期通膨,試問該政策將 對通膨率釀成何種影響?(12 分)
#324201
⑵該國經濟研究機構估計在 1970~1990 年與 1990~2010 年兩段期間內 的 Phillips 曲線型態,前者的δ = 0.9、後者的δ = 0.2,試說明此種實 證結果隱含何種意義?(13 分)
#324202
⑴在穩定狀態下,兩地的每人產出成長率與總產出成長率各自為何?(5 分)
#324203
⑵「蘇格蘭處於穩定狀態,假設突遭大災難毀損一半資本存量,而其他 狀況無變化,則此一衝擊反而讓短期每人產出成長率上升。」試評論 之。(5 分)
#324204
⑶假設英格蘭的人口數量是蘇格蘭的 4 倍,資本是蘇格蘭的 5 倍。假設 蘇格蘭政府關注穩定狀態下的每人產出水準,則蘇格蘭是否該脫英獨 立?原因為何?(7 分)
#324205
⑷延續⑶,在內生成長模型中,技術若與資本存量息息相關, λ = K 0.5, 則蘇格蘭是否該脫英獨立?原因為何?(8 分)
#324206
⑴追求自家利潤極大的 A與 B兩家廠商的反應函數 與 分別 為何?(12 分)
#324207
⑴該公司追求短期生產成本最小,試問其短期總成本與平均成本函數為 何?當產量Q = 200時,邊際成本為何?(12 分)
#324209
⑵在長期資本亦可調整,長期總成本與平均成本函數又為何?(13 分)
#324210
(三)如果中央銀行要讓一般物價水準回復至 P1,則該採取擴張性還是緊縮 性的貨幣政策?在上述(一)的圖形,畫出並說明在中央銀行所採取的措 施下,本國經濟如何移至新的短期均衡點(C 點) 。
#560262
相關試卷
114年 - 114 地方政府公務、離島地區公務特種考試_三等_統計、經建行政:經濟學#134676
114年 · #134676
114年 - 114 公務升官等考試_薦任_僑務行政、財稅行政、商業行政:經濟學#133178
114年 · #133178
114年 - 114 原住民族特種考試_三等_經建行政:經濟學#130964
114年 · #130964
114年 - 114 國際經濟商務特種考試_三等_國際經濟商務人員類科英文組、國際經濟商務人員類科日文組、國際經濟商務人員類科韓文組:經濟學#130954
114年 · #130954
114年 - 114 調查特種考試_三等_財經實務組:經濟學#130183
114年 · #130183
114年 - 114 高等考試_三級_金融保險、統計、經建行政:經濟學#128608
114年 · #128608
114年 - 114 國家安全情報特種考試_三等_政經組(選試英文):經濟學#127787
114年 · #127787
114年 - 114 身心障礙特種考試_三等_經建行政:經濟學#126660
114年 · #126660
114年 - 114 關務特種考試_三等_關稅統計(選試英文):經濟學#126656
114年 · #126656
113年 - 113 地方政府公務、離島地區公務特種考試_三等_統計、經建行政:經濟學#124389
113年 · #124389