阿摩線上測驗
登入
首頁
>
輸送現象與單元操作
>
99年 - 99 高等考試_三級_化學工程:輸送現象與單元操作#27638
> 申論題
申論題
試卷:99年 - 99 高等考試_三級_化學工程:輸送現象與單元操作#27638
科目:輸送現象與單元操作
年份:99年
排序:0
申論題資訊
試卷:
99年 - 99 高等考試_三級_化學工程:輸送現象與單元操作#27638
科目:
輸送現象與單元操作
年份:
99年
排序:
0
題組內容
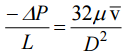
二、典型的毛細管黏度計如下圖所示,包含一大貯槽及長而細之毛細管。流體於管內層 流流動時,可以 Hagen-Poiseuille 方程表示壓降 ∆p 及管長 L 與流體黏度 µ、平均速 度 v 及管直徑 D 等之相互關係:
若貯槽直徑為 0.1 m,毛細管直徑為 0.001 m,長為 0.15 m,當槽內液體液位距毛細管入口為 0.05 m時, 對一密度為 950 kg/m
3
之液體所量測之流率為 10
-7
m
3
/sec。
申論題內容
⑵若槽內初始液位高為 0.05 m 且於毛細管連續排液 下,試估槽液位降至 0.03 m 所需時間。(10 分)