題組內容
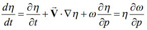
三、已知 p 座標渦度方程(vorticity equation)的其中一個簡化型式為:
⑶氣象上有許多方法可以用來求取垂直速度,其中一種稱為第三渦度法。 試由上式推導出第三渦度法,並說明如何應用此法求取垂直速度 (ω=dp/dt)(10 分)
三、已知 p 座標渦度方程(vorticity equation)的其中一個簡化型式為:
⑶氣象上有許多方法可以用來求取垂直速度,其中一種稱為第三渦度法。 試由上式推導出第三渦度法,並說明如何應用此法求取垂直速度 (ω=dp/dt)(10 分)