題組內容
五、已知:
CO2 在 1 大氣壓,298.15 K 下標準生成熱為
1 , CH4 在 1 大氣壓,298.15 K 下標準生成熱為
, H2O 在 1 大氣壓,298.15 K 下標準生成熱為
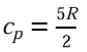
, 5R 單原子的理想氣體定壓比熱
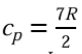
,雙原子及線性多原子的理想氣體定壓比熱
,非線性多原子的理想氣體定壓比熱
= 4R,碳(C)比熱
,
求:
⑶碳(C)在 1 大氣壓 1000 K 下的燃燒二氧化碳排
。
五、已知:
CO2 在 1 大氣壓,298.15 K 下標準生成熱為
1 , CH4 在 1 大氣壓,298.15 K 下標準生成熱為
, H2O 在 1 大氣壓,298.15 K 下標準生成熱為
, 5R 單原子的理想氣體定壓比熱
,雙原子及線性多原子的理想氣體定壓比熱
,非線性多原子的理想氣體定壓比熱
= 4R,碳(C)比熱
,
求:
⑶碳(C)在 1 大氣壓 1000 K 下的燃燒二氧化碳排
。