阿摩線上測驗
登入
首頁
>
技師◆化工熱力學
>
107年 - 107 專技高考_化學工程技師:化工熱力學#72934
> 申論題
題組內容
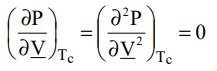
二、凡得瓦方程式表示如下:
在臨界點
請計算:(每小題 5 分,共 20 分)
⑶臨界體積 Pc與參數 a, b 的關係。
相關申論題
⑴物料吸收的熱量是多少?
#296882
⑵需要多少蒸汽?
#296883
⑶物料的熵增加多少?
#296884
⑷蒸汽冷凝的熵減少多少?
#296885
⑸工廠環境的熵變化為何?
#296886
⑹宇宙的熵變化為何?
#296887
⑴臨界體積 Vc與參數 a, b 的關係。
#296888
⑵臨界溫度 Tc與參數 a, b 的關係。
#296889
⑷某物質的臨界溫度為 Tc=5 K,臨界壓力為 Pc=227 kPa。求此物質凡得 瓦方程式參數 a, b。
#296891
⑴ 273 K 反應後氣體中 CO 的重量分率?
#296892
相關試卷
114年 - 114 專技高考_化學工程技師:化工熱力學#133634
114年 · #133634
113年 - 113 專技高考_化學工程技師:化工熱力學#123950
113年 · #123950
112年 - 112 專技高考_化學工程技師:化工熱力學#117618
112年 · #117618
111年 - 111 專技高考_化學工程技師:化工熱力學#111969
111年 · #111969
111年 - 111 高等考試_二級_化學工程:高等化工熱力學#110966
111年 · #110966
110年 - 110 專技高考_化學工程技師:化工熱力學#104162
110年 · #104162
109年 - 109 專技高考_化學工程技師:化工熱力學#93195
109年 · #93195
108年 - 108 專技高考_化學工程技師:化工熱力學#80730
108年 · #80730
107年 - 107 專技高考_化學工程技師:化工熱力學#72934
107年 · #72934
106年 - 106 專技高考_化學工程技師:化工熱力學#66577
106年 · #66577