阿摩線上測驗
登入
首頁
>
轉學考-線性代數
>
105年 - 105年國安三等線性代數#55637
>
題組內容
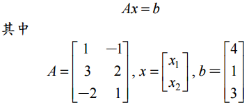
四、設線性方程組如下:
⑶試求最小平方誤差值(least squares error)∥b - Ax∥。(5 分)
其他申論題
⑶試求 T -1 (1 ,2, 3)?(5 分)
#209800
⑷試求 T (1-2x)?(5 分)
#209801
⑴試求最小平方解(least squares solution)。(10 分)
#209802
⑵試求ܾ在 A 行空間(column space)的正交投影向量(orthogonal projection)。(5 分)
#209803
⑴證明 x = (1,1,0), y = (1,0,1), and z = (0,1,1)為ℝ3一組基底。(10 分)
#209805
⑵使用格拉姆-施密特正交化法(Gram-Schmidt orthogonalization)轉換 x, y, z 為標準 正交基底(orthonormal basis)。(10 分)
#209806
⑴子彈之速度(velocity)與速率(speed)各為何﹖(10 分)
#209807
⑵若子彈從點 A = (2, 0, 0)飛行至點 B = (2, 0, 3π),則對應之彈道曲線長度為何﹖ (10 分)
#209808
【已刪除】二、有一矩陣 A,已知其特徵值(eigenvalue)為 3 時,對應之特徵向量(eigenvector)為, 而特徵值是–2 時,對應之特徵向量為,試計算為何?(20 分)
#209809
【已刪除】三、設 又,在(–1, 1)區間內,f(x)之 Fourier 級數可用下述 的 g 函數表示之:,若此 g 函數之 Fourier 級數 表示式亦適用於(–1, 1)之區間,則g(3) + g(4) + g(√ 3)之值為何?(20 分)
#209810