阿摩線上測驗
登入
首頁
>
公職◆資料結構
>
105年 - 105年鐵路人員高員三級資料結構#53495
> 申論題
申論題
試卷:105年 - 105年鐵路人員高員三級資料結構#53495
科目:公職◆資料結構
年份:105年
排序:0
申論題資訊
試卷:
105年 - 105年鐵路人員高員三級資料結構#53495
科目:
公職◆資料結構
年份:
105年
排序:
0
題組內容
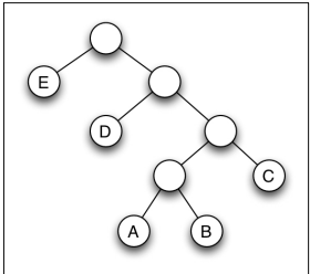
三、兩單位間有大量的訊息互傳需求,為了使訊息傳遞能更有效率,兩單位把可能傳遞訊 息所用到的重要字詞進行頻率分析,並據以建立了如下的霍夫曼碼樹。假設 A, B, C, D, E 分別代表不同的字詞,請說明下列各小題敘述的正確性。 (每小題 5 分,共 25 分)
申論題內容
⑶請說明在所有訊息中 D 出現的頻率是否一定大於 A 出現的頻率。