阿摩線上測驗
登入
首頁
>
輻射安全
>
96年 - 96 關務特種考試_三等_輻射安全技術工程:輻射安全#38604
> 申論題
申論題
試卷:96年 - 96 關務特種考試_三等_輻射安全技術工程:輻射安全#38604
科目:輻射安全
年份:96年
排序:0
申論題資訊
試卷:
96年 - 96 關務特種考試_三等_輻射安全技術工程:輻射安全#38604
科目:
輻射安全
年份:
96年
排序:
0
題組內容
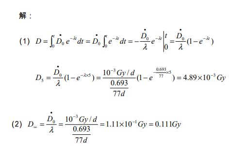
六、已知
35
S 的貝他粒子平均能量為 0.0488 MeV,其物理半衰期為 87.1 天,生物半衰期 為 623 天,試計算下列問題:
申論題內容
⑶若有一睪丸重 18g,有一遍及整個器官均勻分布的 6660 Bq 之
35
S,試計算每日的 吸收劑量率為多少 Gy/d?(10 分)
詳解 (共 1 筆)
詳解
提供者:Goal