阿摩線上測驗
登入
首頁
>
電力系統
>
103年 - 103年地方考三等_電力工程#31174
> 申論題
申論題
試卷:103年 - 103年地方考三等_電力工程#31174
科目:電力系統
年份:103年
排序:0
申論題資訊
試卷:
103年 - 103年地方考三等_電力工程#31174
科目:
電力系統
年份:
103年
排序:
0
題組內容
Z
c
,傳播常數為γ ,兩端之電壓與電流相量分別 表示為 V1與 I1及 V2與 I2。該傳輸線之終端特性可以下述雙埠網路描述:
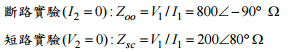
若將該傳輸線進行斷路實驗與短路實驗,可得到下列數據:
申論題內容
一、考慮一傳輸線長度為 l ,特徵阻抗為 (1)試求得特徵阻抗 Zc 。(10 分)