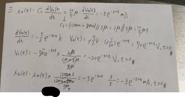
三、如圖三所示電路,當時間為零時(t = 0)開關 S 導通。已知 t > 0 後電流 ia (t) = −5e−50t mA,若vb (0)= 250 V 且vc (0)= −50 V,試求 t ≥ 0 後之va (t)、 vc (t)、ib (t)。(30 分)
詳解 (共 1 筆)
詳解

三、如圖三所示電路,當時間為零時(t = 0)開關 S 導通。已知 t > 0 後電流 ia (t) = −5e−50t mA,若vb (0)= 250 V 且vc (0)= −50 V,試求 t ≥ 0 後之va (t)、 vc (t)、ib (t)。(30 分)
