阿摩線上測驗 登入

申論題資訊

試卷:110年 - 110 關務特種考試_三等_化學工程:化學程序工業(包括質能均衡)#98247
科目:化學程序工業(包括質能均衡)
年份:110年
排序:0

申論題內容

二、甲醛是由甲醇之氧化來生產。在觸媒反應下,甲醇可經由與氧反應,或其 直接脫氫等兩種路徑,均可產生甲醛。請寫出此兩種反應路徑之化學方程 式。甲醛可用來生產尿素甲醛樹脂與酚甲醛樹脂,請寫出此兩種樹脂生成 之反應式與結構式。(20 分)

詳解 (共 1 筆)

詳解 提供者:small_ruu

網路上找的資料

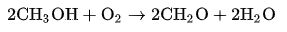
 1. 由甲醇經高溫250-400°C催化氧化製取,催化劑為金屬銀或鐵+鉬/釩氧化物混合物。
64351b6a6e465.jpg
2. 銀基催化劑通常工作在較高的溫度下(約650℃)。
64351b8564c67.jpg

1. 在弱基(氨或吡啶)內加入甲醛和尿素,加熱,經縮合反應,便會合成尿素甲醛樹脂。
64351ccaabf09.jpg

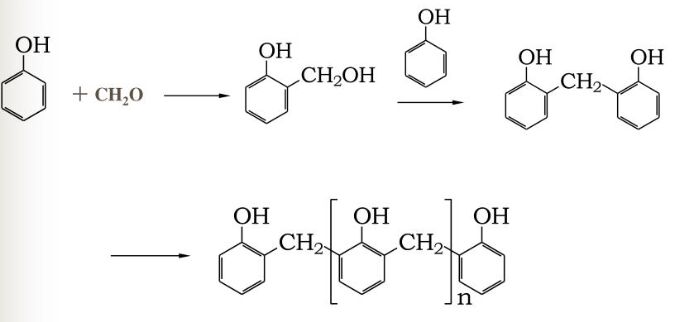
2. 苯酚和甲醛在酸觸媒或鹼觸媒條件下進行縮聚,生成酚醛樹脂和水。
64351d81ee922.jpg