阿摩線上測驗 登入

申論題資訊

試卷:98年 - 98 地方政府特種考試_三等_統計、經建行政、工業行政、農業行政、交通技術:統計學#47633
科目:統計學
年份:98年
排序:0

申論題內容

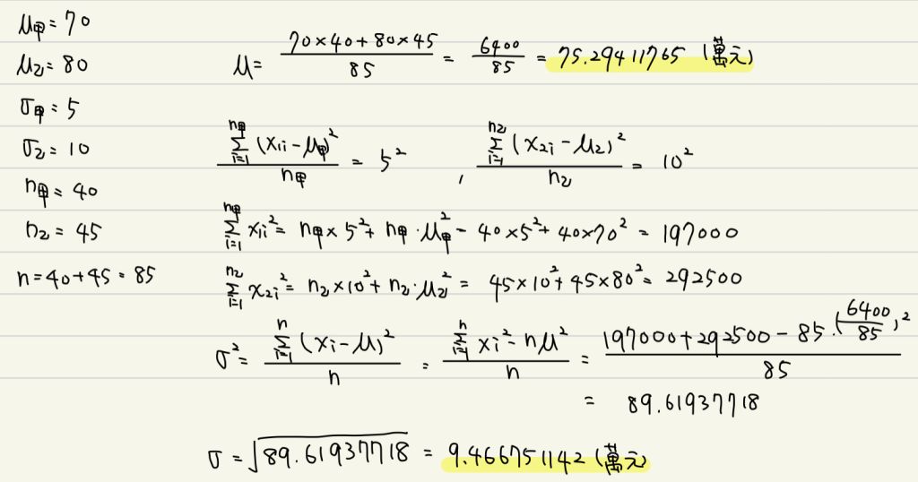
四、因行政區域變動,甲、乙兩縣市進行合併,須重新計算年家戶所得的平均數及標準 差,甲、乙兩縣市去年家戶所得平均數分別為 70 萬元、80 萬元及標準差分別為 5 萬元、10 萬元,家戶數分別為 40 萬戶、45 萬戶,試求兩縣市合併後家戶所得的平 均數及標準差。(20 分)

詳解 (共 3 筆)

詳解 提供者:Jia Hong Lin

合併平均數 (甲群的總和+乙群的總和)除以總戶數

合併平均數 =  [(70x40)+(80x45)] : (40+45) = (2800+3600) : 85 = 75.29


合併變異數 = 變異數除與個數後相加

合併變異數 [(5x5):40] + [(10x10):45] = (25:40) + (100:45) = 2.85

合併標準差 sqrt(2.85) = 1.69

詳解 提供者:Sam

61a2340a933c4.jpg

詳解 提供者:粘文雄

不好意思,關於您變異數的答案,是錯的唷