沒有 【段考】高一數學上學期 權限,請先開通.
詳解 (共 1 筆)
詳解

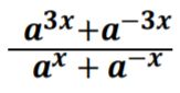
分子: (ax)3+(1/ax)3 =(ax+1/ax)3 -3(ax+1/ax)
分母: ax+1/ax
分數約分後=(ax+1/ax)2-3=a2x+2+(1/ax)2-3=(√5-1)/2+[2/(√5-1)]-1
=(√5-1)/2+[(√5+1)/2]-1
=√5-1