阿摩線上測驗
登入
首頁
>
【段考】高一數學
>
100年 - 100下3高一數學 - 雲林縣國立北港高中100 下學期高一數學第三次段考(期末考)#52968
>
題組內容
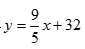
1. 根據統計資料,一月份臺北地區的平均氣溫是攝氏16度,標準差是攝氏3.5度。一般外國朋友比較習慣用華氏溫度來表示冷熱,已知當攝氏溫度為 度時,華氏溫度為
;若用華氏溫度表示,則:
沒有 【段考】高一數學 權限,請先開通.
其他申論題
沒有 【段考】高一數學 權限,請先開通.
#192342
沒有 【段考】高一數學 權限,請先開通.
#192343
沒有 【段考】高一數學 權限,請先開通.
#192344
沒有 【段考】高一數學 權限,請先開通.
#192345
沒有 【段考】高一數學 權限,請先開通.
#192347
沒有 【段考】高一數學 權限,請先開通.
#192348
沒有 【段考】高一數學 權限,請先開通.
#192349
1.霍桑效應(Hawthorne effect)
#192362
2.獨立管制機關(independent regulatory agencies)
#192363
3.非營利組織(nonprofit organization)
#192364