阿摩線上測驗
登入
首頁
>
自動控制學
>
102年 - 102年地方三等考試-三等自動控制#43630
> 申論題
申論題
試卷:102年 - 102年地方三等考試-三等自動控制#43630
科目:自動控制學
年份:102年
排序:0
申論題資訊
試卷:
102年 - 102年地方三等考試-三等自動控制#43630
科目:
自動控制學
年份:
102年
排序:
0
題組內容
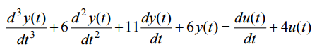
四、對於一控制系統,性質表示成微分方程式:
其中 u 是輸入, y 是輸出:
申論題內容
⑵寫出狀態方程式(state equation)和輸出方程式(output equation)。(10 分)