阿摩線上測驗
登入
首頁
>
核工原理
>
95年 - 95 高等考試_三級_核子工程:核工原理#40345
> 申論題
申論題
試卷:95年 - 95 高等考試_三級_核子工程:核工原理#40345
科目:核工原理
年份:95年
排序:0
申論題資訊
試卷:
95年 - 95 高等考試_三級_核子工程:核工原理#40345
科目:
核工原理
年份:
95年
排序:
0
題組內容
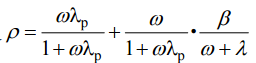
五、遲延中子通常分為六群,其衰變常數為λ i ,其占全部分裂中子之百分率為β i , (i=1, 2, 3, 4, 5, 6),而 β = β
1
+ β
2
+ β
3
+ β
4
+ β
5
+ β
6
。若將遲延中子合併成一群, ωλp ω β 則反應度方程式是
,其中 λ
p
是瞬發(prompt)中子之壽命。
申論題內容
⑵繪出反應度方程式之圖形。(6 分)