題組內容

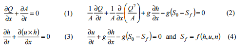
四、行政院環境保護署為落實水污染防治法,特訂推動水污染總量管制作業規定。而該 作業規定揭櫫針對優先實施總量管制之水體,應擬訂其污染總量管制計畫,且水質 模擬模式列為該管制計畫中應包含項目內容之一。 而河川水質評估之水理模式(Hydrodynamic model),一般用於模擬感潮河川之水 位及流場變化。假設某一感潮河川流場可依據以下一維度 Saint-Venant「連續方程 式(Continuity equation)」(1)及「動量方程式(Momentum equation)」(2),再分 別簡化為方程式(3)及(4)。其中,x 代表 X 軸向卡氏座標距離(L)、t 代表時間(T)、 g 代表重力加速度(L/T2)、S0 代表河段底床無因次坡度(Bottom slope)、Q 代表 河段流量(L3/T)、A 代表河段斷面積(L2)、h 代表河段水位或水深(L)、u 代 表河段流速(L/T)、n 代表河段曼寧粗糙係數(Manning's roughness coefficient, T / L1/ 3 )、Sf 代表河段無因次摩擦坡度(Friction slope),且可簡化為該河段 h、u 與 n 之已知函數型式。

⑵若將模擬之感潮河川劃分為諸多河段網格,且不考慮數值解之穩定、收斂條件下, 針對方程式(3)及(4),試應用數值分析定網格(Uniform grid)「有限差分法(The Finite Difference Method, FDM)」中之外顯式(Explicit)「FTCS(Forward-Time Central-Space)」方法說明,為何在給定所需河段水理參數(例如 S0、n)及適當 上游邊界條件(Boundary condition, BC)、下游邊界條件(例如利用潮汐調和分析 (Harmonic analysis)模擬或實際量測之潮位資料)、初始條件(Initial condition, IC),則可求解各河段流速(u)及水位(h)之動態變化情形?(15 分)