阿摩線上測驗
登入
首頁
>
自動控制學
>
103年 - 103年高考二級自動控制學#43084
> 申論題
申論題
試卷:103年 - 103年高考二級自動控制學#43084
科目:自動控制學
年份:103年
排序:0
申論題資訊
試卷:
103年 - 103年高考二級自動控制學#43084
科目:
自動控制學
年份:
103年
排序:
0
題組內容
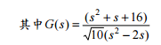
四、對於如下圖之閉迴路系統(closed loop control system),
申論題內容
⑵試依據奈式穩定準則(Nyquist stability criterion),繪製奈式圖(Nyquist plot), 並分析 K = 1000 時閉迴路系統之穩定性。(10 分)