阿摩線上測驗
登入
首頁
>
水產資源學
>
105年 - 105 地方政府特種考試_三等_漁業技術:水產資源學#58738
> 申論題
申論題
試卷:105年 - 105 地方政府特種考試_三等_漁業技術:水產資源學#58738
科目:水產資源學
年份:105年
排序:0
申論題資訊
試卷:
105年 - 105 地方政府特種考試_三等_漁業技術:水產資源學#58738
科目:
水產資源學
年份:
105年
排序:
0
題組內容
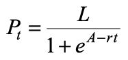
三、漁業資源學者常常使用 S 型曲線(sigmoid curve)來描述個體群的增殖變動。
,P
t
為 t 時間的資源量,L、A 為 > 0 常數,r 為內在增加率(intrinsic 1+ e rate of increase) 。
申論題內容
⑵請問當 t =?時,Pt 可以有最大成長率=?請詳細寫出推導過程。(20 分)