阿摩線上測驗
登入
首頁
>
電子學
>
104年 - 104 原住民族特種考試_四等_電子工程:電子學概要#42073
> 申論題
申論題
試卷:104年 - 104 原住民族特種考試_四等_電子工程:電子學概要#42073
科目:電子學
年份:104年
排序:0
申論題資訊
試卷:
104年 - 104 原住民族特種考試_四等_電子工程:電子學概要#42073
科目:
電子學
年份:
104年
排序:
0
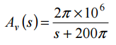
題組內容
五、有一放大器電路的電壓增益轉移函數 A
v
(s)如下:
申論題內容
⑶試求此放大器的1.低頻截止頻率(lower-cutoff frequency)f
L
=?2.高頻截止頻率 (upper-cutoff frequency)f
H
=?3.此放大器的頻寬 BW =?(都以 Hz 表示)(10 分)