阿摩線上測驗
登入
首頁
>
公職◆資料結構
>
100年 - 100年關務三等資料結構#46319
> 申論題
申論題
試卷:100年 - 100年關務三等資料結構#46319
科目:公職◆資料結構
年份:100年
排序:0
申論題資訊
試卷:
100年 - 100年關務三等資料結構#46319
科目:
公職◆資料結構
年份:
100年
排序:
0
題組內容
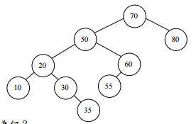
一、下圖為二元搜尋樹(binary search tree),請回答下列問題:
申論題內容
⑹寫出 inorder traversal。