阿摩線上測驗 登入

申論題資訊

試卷:108年 - 108 高等三級 熱力學#78082
科目:熱力學
年份:108年
排序:0

題組內容

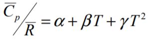
一、假設一燃氣渦輪機在穩態下操作,有一進口及一出口(分別以右下註標 1 及 2 表示) ,燃氣視為理想氣體,質量流率5d2d6e5525d33.jpg= 0.36 kg/s ,出口溫度及 s 壓力為 T2 = 396 K 、 P2 = 2.3 bar ,速度V2 = 29 m /s,分子量 M = 29 ,若進 s 口溫度 T1 = 2150 K ,壓力 P1 = 37 bar ,速度V1 = 68 m/s ,若由此渦輪機散 s 熱至外界的熱傳率5d2d6ea114e0b.jpg 為 78 kW;此燃氣定壓比熱( 5d2d6ec30f0e4.jpg )及通用氣體常數 Cp ( universal gas constant )5d2d6ef3afa60.jpg 的 關 係 式 為5d2d6f051aa97.jpg,式中  α = 3.67 、 β = −1.21 × 10-3 , γ = 2.32 × 10 -6,T 為燃氣溫度,單位 K。試求經過此過程之:(每小題 10 分,共 20 分)

申論題內容

⑴比焓變化量,即 h 2 − h1 ,單位 5d2d6f6472983.jpg