阿摩線上測驗
登入
首頁
>
工程數學(應用數學, 線性代數、微分方程、複變函數與機率)
>
96年 - 96 調查特種考試_三等_電子科學組:工程數學#36015
> 申論題
申論題
試卷:96年 - 96 調查特種考試_三等_電子科學組:工程數學#36015
科目:工程數學(應用數學, 線性代數、微分方程、複變函數與機率)
年份:96年
排序:0
申論題資訊
試卷:
96年 - 96 調查特種考試_三等_電子科學組:工程數學#36015
科目:
工程數學(應用數學, 線性代數、微分方程、複變函數與機率)
年份:
96年
排序:
0
題組內容
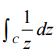
五、若 C(Contour)之描述如下,請求
,其中 z 為複數變數(Complex Variable)。
申論題內容
C 是由點(1+i)延伸至點(2+4i)的直線。(10 分)