阿摩線上測驗
登入
首頁
>
教甄◆公民專業
>
104年 - 嘉中正式教師甄選-公民與社會科#77180
> 申論題
申論題
試卷:104年 - 嘉中正式教師甄選-公民與社會科#77180
科目:教甄◆公民專業
年份:104年
排序:0
申論題資訊
試卷:
104年 - 嘉中正式教師甄選-公民與社會科#77180
科目:
教甄◆公民專業
年份:
104年
排序:
0
題組內容
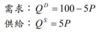
五、 假設幸福國針對某某產品的市場需求與供給如下:
需求:
其中Q為商品的數量(個), P 為商品的價格(美元)。 請依據上述資料論述下列問題:
申論題內容
2. 假設該商品每單位的產量會釋放出4單位的污染,且每單位的污染會對社會產生1美元的成本。請 計算市場均衡下的污染總成本及考慮污染後的社會總剩餘。