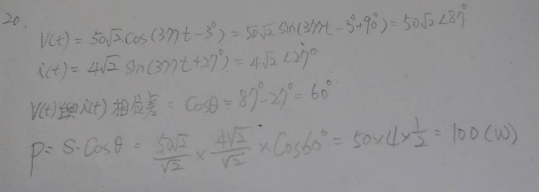
20.將一單相交流電路加入交流電壓源 v (t ) = 5 0√2 cos ( 377t - 3 ° ) 伏特 (V ) ,產生電流 i (t )= 4√2 sin(377t + 27°)安培(A),試求此電路的有效功率為____瓦特(W)。
詳解 (共 4 筆)
詳解

詳解

詳解

詳解
